Çözüldü Çarpanlara Ayırma (3 Soru)

Konusu 'Matematik - Geometri' forumundadır ve gülcan1 tarafından 7 Kasım 2011 başlatılmıştır.

Yüklüyor...
  1. gülcan1

    gülcan1 Yeni Üye

    Mesajlar:
    48
    Beğenileri:
    0
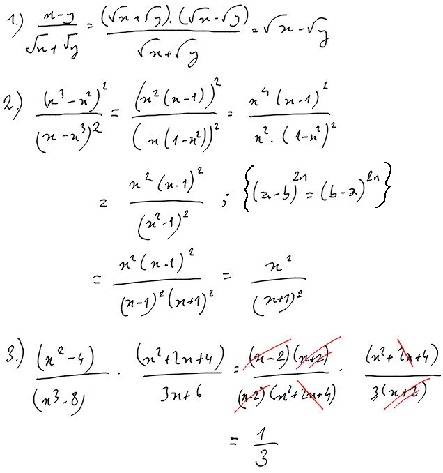
    1) (x-y)/kökx+köky sadeleşmiş biçimi?CEVAP:kökx-köky

    2) (x[sup]3[/sup]-x[sup]2[/sup])[sup]2[/sup]/ (x-x[sup]3[/sup])[sup]2[/sup] sadeleşmiş biçimi?CEVAP:x[sup]2[/sup]/(1+x)[sup]2[/sup]

    3)(x[sup]2[/sup]-4)/(x[sup]3[/sup]-8) .( x[sup]2[/sup]+2x+4)/(3x+6) sadeleşmiş bçimiCEVAP:1/3

  2. Benzer Konular: Çarpanlara Ayırma
    Forum Başlık Tarih
    Ivır Zıvır Sorular - Sohbet (Trivial Questions - Chat) Tam Sayılar Kümesinde Çarpanlara Ayırma ve Denklem Çözümü 19 Nisan 2026
    Ivır Zıvır Sorular - Sohbet (Trivial Questions - Chat) Basit Faiz - İkinci Derece Tek Bilinmeyenli Denklemde Çarpanlara Ayırma 4 Nisan 2026
    Denklem Çözme, Eşitsizlikler, Oran-Orantı, Özdeşlikler ve Çarpanlara Ayırma İki Bilinmeyenli Denklemde Determinantla Çözüm - Çarpanlara Ayırma 3 Nisan 2026
    Ivır Zıvır Sorular - Sohbet (Trivial Questions - Chat) Üçgende Alan - Trigonometri - İkinci Derece Denklemde Çarpanlara Ayırma 16 Mart 2026
    Limit ve Süreklilik,Türev,İntegral Değişim Oranı - Doğrunun Analitiği - Kübik Denklemde Çarpanlara Ayırma - Türev 3 Şubat 2026

  3. Cem

    Cem Yönetici Yönetici

    Mesajlar:
    3.388
    Beğenileri:
    1.333
    Ynt: sadeleştirme

    [​IMG]

Sayfayı Paylaş