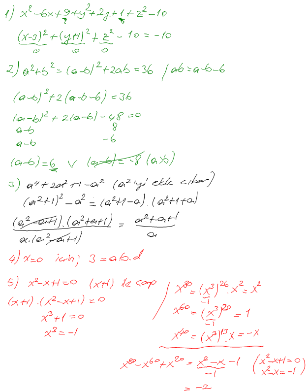
Çözüldü Çarpanlara Ayırma (5 Soru)

Konusu 'Denklem Çözme, Eşitsizlikler, Oran-Orantı, Özdeşlikler ve Çarpanlara Ayırma' forumundadır ve e.songül tarafından 7 Nisan 2014 başlatılmıştır.

Yüklüyor...
  1. e.songül

    e.songül Yeni Üye

    Mesajlar:
    28
    Beğenileri:
    13
    Cinsiyet:
    Bayan
    [​IMG]
    [​IMG]
    [​IMG]
    [​IMG]
    [​IMG]

  2. Benzer Konular: Çarpanlara Ayırma
    Forum Başlık Tarih
    Ivır Zıvır Sorular - Sohbet (Trivial Questions - Chat) Basit Faiz - İkinci Derece Tek Bilinmeyenli Denklemde Çarpanlara Ayırma 4 Nisan 2026
    Denklem Çözme, Eşitsizlikler, Oran-Orantı, Özdeşlikler ve Çarpanlara Ayırma İki Bilinmeyenli Denklemde Determinantla Çözüm - Çarpanlara Ayırma 3 Nisan 2026
    Ivır Zıvır Sorular - Sohbet (Trivial Questions - Chat) Üçgende Alan - Trigonometri - İkinci Derece Denklemde Çarpanlara Ayırma 16 Mart 2026
    Limit ve Süreklilik,Türev,İntegral Değişim Oranı - Doğrunun Analitiği - Kübik Denklemde Çarpanlara Ayırma - Türev 3 Şubat 2026
    Limit ve Süreklilik,Türev,İntegral Limitte Cebirsel Değişken Dönüşümü, Özdeşlikler ve Çarpanlara Ayırma 20 Ocak 2026

  3. Bora

    Bora Yönetici Yönetici

    Mesajlar:
    2.136
    Beğenileri:
    575
    Meslek:
    Öğretmen
    cartpnlarayirma.png
    Honore ve e.songül bunu beğendi.

Sayfayı Paylaş