Çözüldü İşlem (6 Soru)

Konusu 'Mantık,Kümeler,Bağıntı ve Fonksiyon,İşlem ve Moduler Aritmetik' forumundadır ve gülcan1 tarafından 30 Kasım 2011 başlatılmıştır.

Yüklüyor...
  1. gülcan1

    gülcan1 Yeni Üye

    Mesajlar:
    48
    Beğenileri:
    0
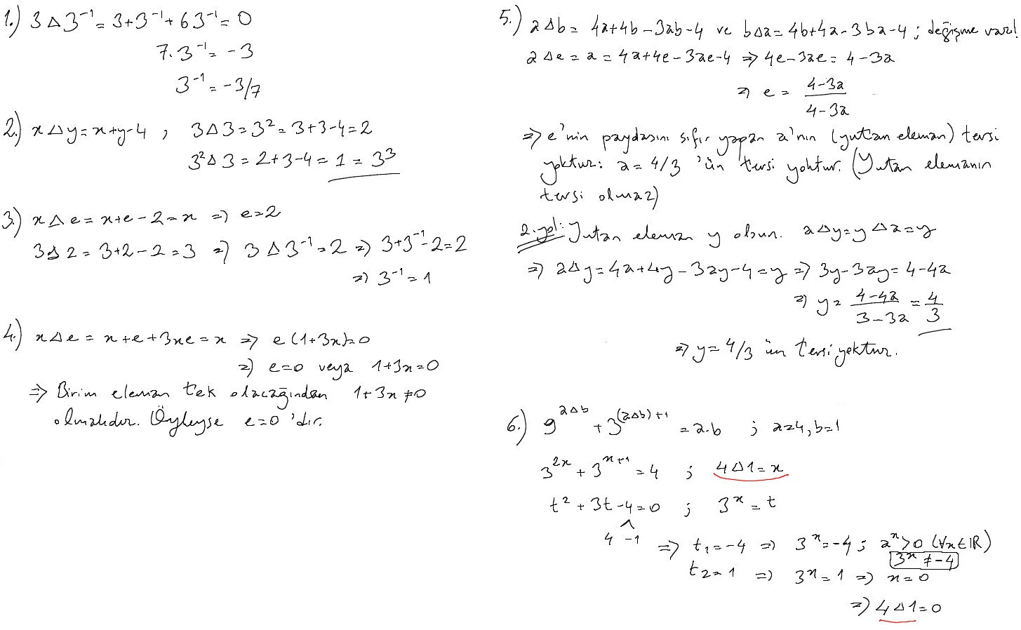
    1)
    Reel (gerçel) sayılar kümesi üzerinde her a, b için a Δ b = a + b + 2ab işlemi tanımlanıyor. Δ işleminin etkisiz elemanı 0 ise 3'ün Δ işlemine göre tersi kaçtır? CEVAP: -3 / 7

    2)
    Tam sayılar kümesinde x Δ y = x + y - 4 işlemi tanımlanıyor. a^n = aΔaΔaΔ...ΔaΔa ise 3^3 kaçtır? CEVAP: 1

    3)
    Reel sayılar kümesi üzerinde her a, b için x Δ y = x + y - 2 işlemine göre 2 Δ (3 Δ 2)^(-1) işleminin sonucu kaçtır? CEVAP: 1

    4)
    Gerçel sayılar kümesi üzerinde her x, y için x # y = x + y + 3xy işlemine göre işlemin etkisiz (birim) elemanı kaçtır? CEVAP: 0
    (cevabın -1/3 olması gerekmiyor mu ?)

    5)
    Gerçel sayılar kümesi üzerindeki her a, b için a Δ b = 4a + 4b - 3ab - 4 işlemine göre Δ işleminde hangi sayının tersi yoktur? CEVAP: 4 / 3

    6)
    Reel (gerçel) sayılar kümesi üzerindeki 9^(a $ b) + 3^[ (a $ b) + 1 ] = ab işlemine göre 4Δ1 işleminin sonucu kaçtır? CEVAP: 0

    TEŞEKKÜRLER...
    Son düzenleyen: Moderatör: 8 Mayıs 2023

  2. Benzer Konular: İşlem Soru)
    Forum Başlık Tarih
    Mantık,Kümeler,Bağıntı ve Fonksiyon,İşlem ve Moduler Aritmetik İşlem (3 Soru) (YKS 2020'de Yok) 3 Aralık 2019
    Matematik - Geometri Trigonometrik İşlemler ve Özdeşlikler (2 Soru) 9 Aralık 2018
    Matematik - Geometri Trigonometrik İşlemler (3 Soru) 26 Ekim 2018
    Matematik - Geometri Trigonometrik İşlem (2 Soru) 17 Aralık 2016
    Matematik - Geometri Trigonometrik İşlem ve Özdeşlikler (2 Soru) 11 Ekim 2016

  3. Cem

    Cem Yönetici Yönetici

    Mesajlar:
    3.388
    Beğenileri:
    1.333
    [​IMG]
    Son düzenleyen: Moderatör: 8 Mayıs 2023
    Honore bunu beğendi.

Sayfayı Paylaş