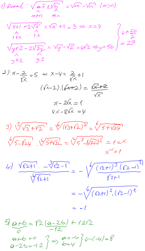
Çözüldü Köklü Sayılar (5 Soru)

Konusu 'Rasyonel ve Ondalıklı Sayılar, Üslü Sayılar, Köklü Sayılar, Mutlak Değer, Taban Aritmetiği' forumundadır ve e.songül tarafından 7 Nisan 2014 başlatılmıştır.

Yüklüyor...
  1. e.songül

    e.songül Yeni Üye

    Mesajlar:
    28
    Beğenileri:
    13
    Cinsiyet:
    Bayan
    [​IMG]
    [​IMG]
    [​IMG]
    [​IMG]
    [​IMG]

  2. Benzer Konular: Köklü Sayılar
    Forum Başlık Tarih
    Trigonometri,Karmaşık Sayılar,Logaritma,Parabol Trigonometri - 2. Derece Denklem - Kareköklü Sayılar - Kenarortay Teoremi 9 Nisan 2026
    Ivır Zıvır Sorular - Sohbet (Trivial Questions - Chat) Kareköklü Sayılar 16 Mart 2026
    Trigonometri,Karmaşık Sayılar,Logaritma,Parabol Kareköklü Sayılar - İkinci Dereceye İndirgenebilen Denklem - Trigonometri 13 Mart 2026
    FİZİK Kinematikte Yukarıya Eğik Atış - İkinci Derece Denklem - Kareköklü Sayılar 12 Şubat 2026
    Ivır Zıvır Sorular - Sohbet (Trivial Questions - Chat) Üçgende Alan - Pisagor Teoremi - Kareköklü Sayılar - Dikdörtgende Köşegen 26 Ocak 2026

  3. Bora

    Bora Yönetici Yönetici

    Mesajlar:
    2.136
    Beğenileri:
    575
    Meslek:
    Öğretmen
    koklusayi.png
    Honore ve e.songül bunu beğendi.

Sayfayı Paylaş